还记得刷爆青岛银朋友圈的“青岛大姨之慰问高考考生”视频吗?应广大网友呼声,青岛大姨又出续集啦,高考分数出来后,大姨关心过的朋友们纷纷打来回访电话,这次青岛大姨反被问啦,那崩溃的表情、尴尬的表演,再配上青岛银独特的方言,青岛大姨的形象简直是不能再形象,好多网友在后台留言表示想到了自己高考当年的老妈,真是一样一样的。目前该视频点击79581次,点赞778次,凭借该视频,青岛大姨成功夺得本期自媒体类榜首。 目前该榜单收录了政务、媒体、自媒体、财经、地产、学校、医院、汽车、旅游、婚嫁、文化、家居、商超、美食14个行业微信公众号,每周出榜一次。
为确保榜单的权威性、公正性,我们拒绝付费冲榜、拒绝潜规则、拒绝买粉等一切恶意营销公众号参评。“青岛最有影响力微信排行榜”由青岛新闻网微运营整理发布。数据来自清博指数。














榜单说明:
1、“青岛最有影响力微信排行榜”由青岛新闻网微运营整理发布。数据来自新媒体指数。更多信息请关注www.gsdata.cn。
2、统计情况:
文章发布时段:2016年7月17日0:00-2016年7月23日24:00。
数据收集时间:2016年7月25日14:00
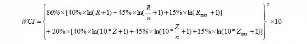
3、微信公众号综合影响力指数:WCI 指标体系:
计算公式:


各参数含义: R: 总阅读数(某账号当期所有文章阅读数总和); Z:总点赞数(某账号当期所有文章点赞数总和); N:某账号当期发布文章数; Rmax:某账号当期最高阅读数; Zmax:某账号当期最高点赞数; R/N,Z/N:平均阅读数和平均点赞数; Z/R:点赞率;
4、本次榜单收录了青岛12个行业微信公众号,如您的账号暂未收录,可联系0532——68873209。
5、我们拒绝付费冲榜、拒绝潜规则、拒绝买粉等一切恶意营销公众号参评。





